Chalet d’exception avec une vue panoramique — Val d’Isère / Tignes
Pièces7
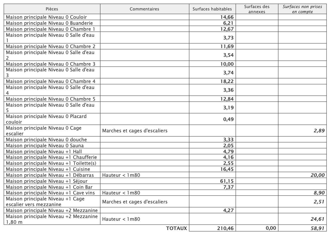
Surface habitable210 m²
Prix de l'objetCHF 1'080'000.-
DisponibilitéImmédiatement
Localisation
73320 Tignes FRCaractéristiques
Référence
5795396
Disponibilité
Immédiatement
Résidence secondaire
Autorisé
Vente autorisée aux personnes à l'étranger
Oui
Sanitaires
7
Dernières rénovations
2005
Pièces
7
Chambres
6
Nombre d'étage(s) total
2
Logement
1
Nombre de terrasse
1
Types de chauffage
Mazout, Bois
Installation chauffage
Sol
Eau chaude sanitaire
Mazout
Altitude
1'800 m
Etat du bien
Très bon
Surface habitable
210 m²
Surface totale
269 m²
Viager
A terme
Bouquet
CHF 1'160'000.-
Rente
CHF 186'300.-/an
Descriptif
Niché dans un hameau confidentiel et préservé, ce chalet d’exception offre un panorama spectaculaire sur Val d’Isère, Tignes et le lac, dans un environnement naturel d’une rare quiétude. Ici, le temps semble suspendu, loin de l’effervescence des stations, au cœur d’un cadre alpin authentique et majestueux.
Terrasse plein sud face aux sommets, soirées chaleureuses autour du feu de cheminée, instants de détente sous les étoiles… Ce lieu unique a été pensé comme un véritable refuge de montagne, alliant élégance, confort et sérénité.
Élégance alpine & prestations haut de gamme
Conçu avec des matériaux nobles, le chalet marie avec subtilité l’authenticité alpine et le confort contemporain.
Surface totale : 269 m² (incluant mezzanine et dépendances)
Terrain : 840 m²
6 chambres, chacune avec salle de bain privative et WC
Chauffage au sol sur les deux niveaux
Cuisine professionnelle entièrement équipée, idéale pour recevoir
Sauna intérieur avec douche
Bain norvégien extérieur, pour des moments de bien-être absolu
Des volumes baignés de lumière
Le rez-de-chaussée s’ouvre sur une vaste pièce de vie lumineuse, sublimée par une grande baie vitrée panoramique offrant une vue imprenable sur le lac et les montagnes. L’espace bar et la cuisine créent un lieu convivial, parfait pour partager des moments d’exception en famille ou entre amis.
À l’étage, une chambre sous toit avec salle de bain privative offre une atmosphère intime et chaleureuse.
Le rez-de-jardin accueille cinq chambres, toutes ouvertes sur la terrasse, permettant de profiter dès le réveil de l’air pur et de la magie du paysage alpin.
Un bien rare et confidentiel
Situé en zone N et UAa, ce chalet bénéficie d’un emplacement exceptionnel, conjuguant proximité immédiate de Val d’Isère et Tignes et calme absolu. Une opportunité rare pour une résidence principale ou secondaire de prestige, ou pour un investissement patrimonial de grande qualité.
Un lieu unique pour ceux qui recherchent le luxe dans la simplicité, le confort dans la nature et l’authenticité d’un refuge alpin préservé.
Conditions de vente:
Les vendeurs conservent un droit d’usage et d’habitation pour une durée de 2 ans, permettant à l’acquéreur de préparer sereinement son projet tout en sécurisant immédiatement son investissement.
Le transfert de propriété est immédiat, effectif dès la signature de l’acte authentique de vente.
Modalités de paiement
1) Versement initial à la signature de l’acte :
1 160 000 € (honoraires d’agence inclus)
2) Paiements échelonnés :
200 000 € par an pendant 5 ans
(modalités mensuelles ou trimestrielles envisageables)
_________
Une vente traditionnelle est également possible au prix de :
2 250 000 € (honoraires d’agence inclus)
Terrasse plein sud face aux sommets, soirées chaleureuses autour du feu de cheminée, instants de détente sous les étoiles… Ce lieu unique a été pensé comme un véritable refuge de montagne, alliant élégance, confort et sérénité.
Élégance alpine & prestations haut de gamme
Conçu avec des matériaux nobles, le chalet marie avec subtilité l’authenticité alpine et le confort contemporain.
Surface totale : 269 m² (incluant mezzanine et dépendances)
Terrain : 840 m²
6 chambres, chacune avec salle de bain privative et WC
Chauffage au sol sur les deux niveaux
Cuisine professionnelle entièrement équipée, idéale pour recevoir
Sauna intérieur avec douche
Bain norvégien extérieur, pour des moments de bien-être absolu
Des volumes baignés de lumière
Le rez-de-chaussée s’ouvre sur une vaste pièce de vie lumineuse, sublimée par une grande baie vitrée panoramique offrant une vue imprenable sur le lac et les montagnes. L’espace bar et la cuisine créent un lieu convivial, parfait pour partager des moments d’exception en famille ou entre amis.
À l’étage, une chambre sous toit avec salle de bain privative offre une atmosphère intime et chaleureuse.
Le rez-de-jardin accueille cinq chambres, toutes ouvertes sur la terrasse, permettant de profiter dès le réveil de l’air pur et de la magie du paysage alpin.
Un bien rare et confidentiel
Situé en zone N et UAa, ce chalet bénéficie d’un emplacement exceptionnel, conjuguant proximité immédiate de Val d’Isère et Tignes et calme absolu. Une opportunité rare pour une résidence principale ou secondaire de prestige, ou pour un investissement patrimonial de grande qualité.
Un lieu unique pour ceux qui recherchent le luxe dans la simplicité, le confort dans la nature et l’authenticité d’un refuge alpin préservé.
Conditions de vente:
Les vendeurs conservent un droit d’usage et d’habitation pour une durée de 2 ans, permettant à l’acquéreur de préparer sereinement son projet tout en sécurisant immédiatement son investissement.
Le transfert de propriété est immédiat, effectif dès la signature de l’acte authentique de vente.
Modalités de paiement
1) Versement initial à la signature de l’acte :
1 160 000 € (honoraires d’agence inclus)
2) Paiements échelonnés :
200 000 € par an pendant 5 ans
(modalités mensuelles ou trimestrielles envisageables)
_________
Une vente traditionnelle est également possible au prix de :
2 250 000 € (honoraires d’agence inclus)
Commodités
Environnement
- Village
- Montagnes
- Lac
- Sans brouillard
Extérieur
- Terrasse(s)
Intérieur
- WC visiteurs
- Cave
- Cave à vin
- Local à ski
- Réduit
- Jacuzzi
- Cheminée
- Double vitrage
- Lumineux
- Avec cachet
Equipement
- Cuisine équipée
Etat
- Bon
Vue
- Panoramique
- Lac
- Montagnes
Style
- Rustique































